Home / Statistical Tools / Analysis Tools / Time Series / Time Series Accuracy Measures
Time Series Accuracy Measures¶
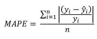
MAPE - Mean Absolute Percentage Error¶
Measures the accuracy of the fit as a percentage. The best possible is 0% and the worst is 100%.

MAD - Mean Absolute Deviation¶
Measures the accuracy of the fit in the units of the data. The best possible is 0.

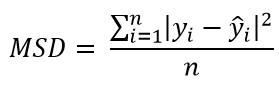
MSD - Mean Squared Deviation¶
Similar to MAD except that the deviations are squared. The best possible value is zero.
